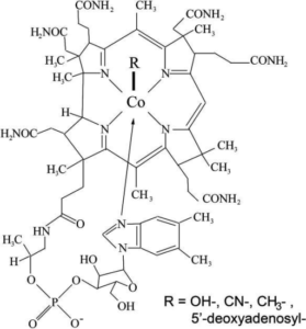
Vitamina B12 Fórmula química de la cianocobalamina. Por Ygua Moringa|2018-12-13T22:30:49+00:00diciembre 13th, 2018|Comentarios desactivados en Vitamina B12